네이버 블로그에서 쓰다가 티스토리로 넘어왔다
근데 넘어와도 글 잘 안 쓸거 같은데
그래도 일단 써봄
저번엔 스프링-댐퍼 시스템에 대해서 알아봤으니 이번엔 전기 시스템에 대해서 알아보자
전기 시스템을 먼저 알아보고 그 다음에기본적인 전기모터 모델링에 대해 알아보자
ㅡㅡㅡㅡㅡㅡㅡㅡㅡㅡㅡㅡㅡㅡㅡㅡㅡㅡㅡㅡㅡㅡㅡㅡㅡㅡㅡㅡㅡㅡㅡㅡㅡㅡㅡㅡㅡㅡㅡㅡㅡㅡㅡ
기본적인 전기 시스템 모델링에 대해서 알아보자
시스템 모델링
첫번째 글엔 라플라스 변환 테이블만 올려놓고 그냥 외우는게 낫다고 했는데 설명을 붙이는 걸 깜빡했다. 여기서 라플라스 변환의 쓰임은 크게 두 가지로 나뉘는데 첫번째는 알다시피 미분방적
honour.tistory.com
내가 일전에 적어놓았던 걸 보면
질량=m
댐퍼=b
스프링=k
로 칭했는데 전기회로에서도 그게 가능하다!
바로 옴의 법칙
전압은 전류에 비례한다!!

뉴턴의 법칙과 비교해보자

뭔가 흡사하다!
기계 시스템에서 질량, 댐퍼, 스프링은 전기 시스템에서 비슷하게
캐패시터=C (기계에서 스프링)
저항=R (기계에서 댐퍼)
인덕터=L (기계에서 질량)
이라고 부를 때
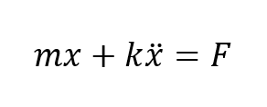
기계에서 기본적인 식이

이렇다면
전기에서는

이렇게 적을 수가 있다
어? 왜 적분이 들어갈까?
왜냐면 전류는 charge가 얼마나 흐르는지 나타내기 때문!
*Rate of flow = 시간당 얼마나 흐르는지를 뜻함!

이므로

이렇게 쓸 수도 있다는 것
근데

여기서는 이걸로 쓸거임
근데 쓰다보니 길어질거 같은 느낌이 든다

여기 전기 회로가 있다
전류는 positive에서 negative로 흐르니까 저 방향으로 회로를 돈다
그럼 이거는 몇 DOF/Order 일까?
바로 1 DOF/2nd order 시스템이다!
전기 시스템에서 Degree of freedom은
전압이 독자적으로 회로를 도는 횟수라고 보면 될 거같고
그리고 system order는 똑같이 에너지 저장소의 수라고 보면 될 거 같다
Kinetic 이랑 potential 에너지
위에 예시에서는 회로를 단 한 번만 돌기 때문에 1DOF 이고
인덕터가 KE&PE 둘 다 가지고 있기 때문에 2nd order이다
근데 나는 그냥 eigenvalue로 구하는 걸 더 선호하는 편임!
그럼 만약

이런 회로가 있다고하면 DOF/System order는 뭘까?
2DOF/2nd order 시스템이다
키르히호프의 법칙을 이용해서 풀어보면
*키르히호프의 법칙


이렇게 나옴
이게 뭐랑 비슷하냐면

이거랑 비슷하다고 보면 됨
이제 전기 시스템 모델링의 기초도 알았으니 전기모터 모델링으로 넘어가보자
일단 전기모터는 전기와 기계 부분으로 나뉘어져있는데
input은 전압이고 output은 회전수임
그리고 일반적인 모터의 내부를 그려보면

이렇게 나오는데 여기서 e_b는 back emf 라고 모터에 들어가있는 코일같은 거임

back emf 구하는 식
여기서 k_b는 정해진 상수라서 모터에 따라 다름
영어로는 back emf constant 라고 부름
이 back emf는 회전속도에 정비례한다
그리고 기계부분으로 가면 k_I 라는걸 볼 수가 있는데

SI 단위일 때는 같은데 English 단위면 서로 다르니까 주의
전기모터는 Input이 전압이고 output은 회전속도인데 이 back emf가 전기와 기계 시스템을 이어주는 역할을 핢
그래서 이 회로를 모델링하면

이렇게 나타낼 수가 있다
그럼 이제 기계로 넘어가보자
모터를 대충 그려보면

이렇게 나오는데 모터니까 토크가 input이 되겠다
근데 분명 회로에서는 output이 전류인데 갑자기 토크가 나왔다 왜지?
그것은 바로 위에서도 언급했던 k_I 때문이다

k_I가 아마 torque constant 였나 그랬던 걸로 기억함
아무튼 이것도 상수라서 모터에 따라 다름
SI 단위면 k_b와 k_I는 같다는 걸 기억!
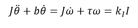
그럼 이걸 바탕으로 equation of motion 을 적어보면


이렇게 적을수가 있다
그럼 input이 전류이고 output이 회전속도인 식을 구할수가 있게된다
그리고


이 2개의 식을 라플라스 변환하고 합쳐보면

아마 이렇게 나올거임
끝!!
'System Control' 카테고리의 다른 글
| Transient Response 마지막 (0) | 2020.12.13 |
|---|---|
| Frequency Response 마지막 (0) | 2020.11.18 |
| Transient Response 세 번째 (0) | 2020.07.10 |
| Frequency Response 두 번째 (0) | 2020.07.10 |
| Frequency Response (0) | 2020.07.10 |
댓글