원래 Frequency Response 세 번째를 적으려고 했는데
적다보니까 Transient response 에 대해서 깜빡하고 안 적은 게 있어서 마저 적는다.
Transient Response 두 번째
저번에 transient response 에 대해서 적었었는데, 이번에도 transient response 에 대해서 적을 것이다. 저번 글과 이번 글의 다른 점은 저번 글은 1st order system 에 대한 transient response 였다면, 이번 글..
honour.tistory.com
위 링크를 보면 내가
b^2 > 4mk -> Overdamped
b^2 = 4mk -> Criticallydamped
b^2 < 4mk -> Underdamped
이렇게 정리를 해놓았는데
underdamped 일 경우는 다른 케이스에 비해 다른 부분이 있다.
그거슨 바로 s 의 값이 복소수라는 것.

1DOF, 2nd order의 기본 전달 함수의 eigenvalue 를 근의 공식을 이용해서 구해보면

이렇게 나온다. 근데 b^2 < 4mk 이기 때문에

이렇게 나오는데, 이 수식은 미리 적지만

이렇게 적을 수가 있다.
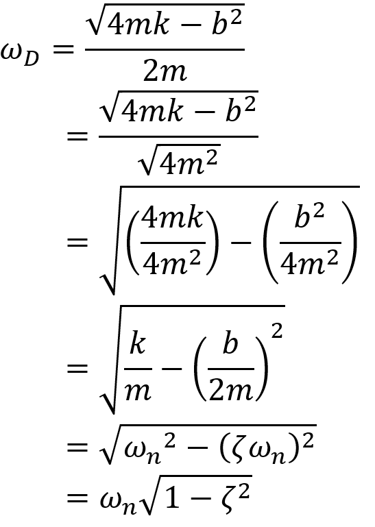
여기서 제타는 damping ratio, w_n 은 natural frequency, w_D 는 damped natural frequency 라고 부른다.
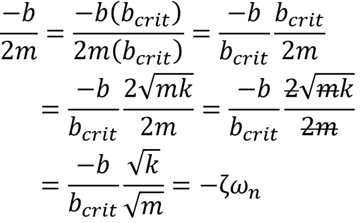
damping ratio 란

인데, 여기서 b_crit 은 critical damping 라고 한다.
위 링크에 가서 밑에 보면 case 1, 2, 3 이 있는데 거기서 case 2 일때의 b 값을 바로 critical damping 이라고 한다.
damping ratio 가 1보다 크거나 같으면 2nd order 라고 1st order 시스템처럼 반응이 나온다. (케이스 1, overdamped)
natural frequency 는 damping 없이 자연적으로 가해지는 진동이라고 보면 되고,

이렇게 적을 수가 있겠다.
damped natural frequency 는 허수 부분 전체를 뜻하므로 따로 구할 필요는 없어보인다.
그럼 이제 어떻게

이렇게 나오는지를 알아보자.

damped natural frequency 는 따로 구할 필요는 없지만, 이걸 다르게 표현이 가능하다.

그럼 이제 damped natural frequency 도 알겠다,

이 것이 해가되는 2차방정식을 구해보면

이렇게 나온다.
ㅡㅡㅡㅡㅡㅡㅡㅡㅡㅡㅡㅡㅡㅡㅡㅡㅡㅡㅡㅡㅡㅡㅡㅡㅡㅡㅡㅡㅡㅡㅡㅡㅡㅡㅡㅡㅡㅡㅡㅡㅡ
*참고로 이거를 라플라스 좌표계 (S-Plane) 로 표현하자면

이렇게 된다
각 축은 오른쪽 하단처럼 실수, 허수로 되어있고
그 말은 즉, 위 전달함수의 분모를 위 식으로 바꿔놓으면 아주 쉽게 제타와 natural frequency 를 구할 수가 있다.
이것들을 왜 구하냐면, 바로 시스템을 디자인 할 때 쓰이기 떄문이다.
어떻게 쓰이냐하면,

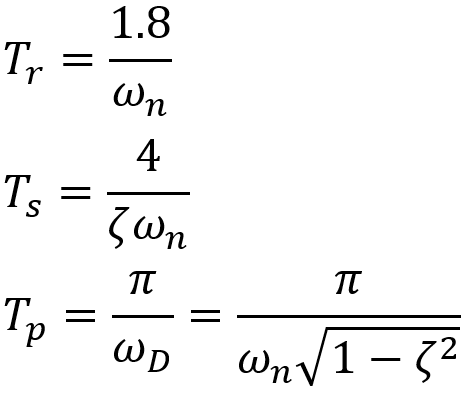
위 그래프를 보면 내가 4가지의 색으로 칠해놓은 게 있다.
하나하나씩 설명해보자면,
보라색 - Rise time (steady state 의 10% 에서 90% 까지 도달하는 시간)
검은색 - Peak time (맨 처음 peak 에 도달하는 시간)
녹색 - Settle time (대략 steady state 의 95%~99% 에 도달한 시간)
빨간색 - Maximum overshoot percentage (steady state 에서 최대치로 벗어난 퍼센트) (underdamped 일 경우에만)
이다.
식을 하나하나 써보자면


이렇게 된다. 이건 내가 증명하기도 너무 귀찮아서 그냥 이대로 쓰는게 낫다.
그리고 위 반응에 대한 4개의 변수를 구해보면

이렇게 나오는데
M_p 는 퍼센트 이기때문에, steady state 의 값 곱하기 저 퍼센트를 하면 overshoot 최대 값을 구할 수가 있다.

요롷게.
만약에 나는 rise time 을 낮추고 싶다면 natural frequency 를 높히면 되고
overshoot 을 낮추고 싶으면 제타를 높히면 되고
settle time 을 낮추고 싶으면 제타와 natural frequency 의 곱을 높히는 식으로 시스템을 디자인 할 수가 있다.
이 것은 후에 난중에 적을 컨트롤과 밀접한 연관성이 있으므로 잘 숙지해놓는 게 좋을 것 같다.
'System Control' 카테고리의 다른 글
| Frequency Response 마지막 (0) | 2020.11.18 |
|---|---|
| 전기 시스템 모델링 (0) | 2020.07.20 |
| Frequency Response 두 번째 (0) | 2020.07.10 |
| Frequency Response (0) | 2020.07.10 |
| Transient Response 두 번째 (0) | 2020.07.10 |
댓글