쓰기 더럽게 귀찮다.
그냥 놀고싶다.
그치만 해야지.

먼저 이 그래프를 분석하기 위해선 Gain, G 부터 자세히 알아보자.

저번 글에서 봤겠지만 이 Gain 식은

이 시스템의 Gain 식이다. 이전 글을 보면 어떻게 이렇게 나왔는지 다 적어놨으니까 다시 안 적음.
그렇다면 생각해보자.

이 Gain 식에 w = 0 이라면 어떤 값이 나올까?

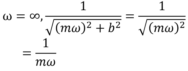
그렇군! 그럼 w = 무한대 라면 어떤 값이 나올까?

무한대로 갈수록 이 값에 가까워 진다.
그럼 만약 w 가 eigenvalue 라면 어떻게 될까?

음. 이렇게 나온다.
이게 뭐길래 내가 적느냐하면
이게 모두 그래프 안에 있다는 말!

이 그래프에서 검은색 화살표가 가르키는 부분, w = 0 일 때, 를 바로 DC Gain 이라고 부른다.
참고로 이 값은 transfer function 에서 s 에 0을 대입하면 나오는 값과 동일하다.
그리고 빨간색 화살표가 가르키는 부분이 바로 w = eigenvalue 일 때의 Gain 값이다.
Gain 이 저 부분을 지날 때 w 값이 바로 eigenvalue. 그리고 Gain 값은 0.707(DC Gain) 인 것이다.
이해하기 어렵겠지만 지금 당장은 이렇게 아는 게 정신건강에 좋다.
바로 다음으로 넘어가보자.
다음 건 그렇게 크게 중요하지 않으니 빨리빨리 넘어가겠다.
다음으로 볼 건 Phase Shift. Euler's Identity 를 저번 글에서 소개했었는데 거기서 나오는 D 가 Phase Shift 이다.
이게 뭐냐하면 frequency 가 얼만큼 바뀌는지를 보여준다. 그리고 그게 끝. 이전 글보면 식하고 다 나와있으니 이만큼만 설명하겠다.
그리고 다른 블로그 가면 자세히 알려주지 않을까싶다.
이 phase shift 와 Gain 그래프를 합해서 Bode plot 이라고 말하는데 이 bode plot 은 컨트롤러를 디자인 할 때 엄청시레 중요한 것이다.
왜 인지는 차차 나아가면서 설명하겠다.
MATLAB 에선 bode 라는 명령어로 사용이 가능하다. (Control system toolbox 있어야 함.)
예를 들면 이렇게

단점은 Gain 값이 데시벨로 나온다는 점.
데시벨 = 20*log(Gain) 이고 log의 지수는 10이니까 그래프보고 혼동하지 말 것.
마지막으로 한 가지 빠르게 gain 을 구하는 방법이 있는데 이것을 소개하도록 하겠다.

바로 이걸 사용하는 것이다.
왜 그런지 증명하는 걸 적자니 내가 힘들어 뒤지겠다. 증명은 그냥 검색해서 알아보는걸 추천.
그런 다음에 S 에 wj 를 대입하고
허수와 실수로 나눈 뒤, 그 값의 magnitude 를 구하면 된다.
이제 bode plot 과 gain, phase shift 에 대해 약간이나마 알아봤으니
2nd order system 일 때는 어떻게 되는지 알아보자.

input 에 frequency 가 있는 2nd order system 의 equation of motion 이다.

이것은 Transfer function, 전달함수인데,
위에서 소개한 저 야매방법을 사용해보자.
왜냐면 저번 글은 1st order system 이라서 그렇게 오래 안 걸렸지만 이번엔 2nd order system 이라서
하나하나 하다간 내가 힘들거 같아서이다.

S 에 wj 를 대입해주면 된다!
여기서 j 는 허수 i 를 뜻한다.
그런 다음에 허수와 실수를 따로 나누고
허수(j 제외한) 값과 실수 값을 제곱한 뒤 전체의 크기값을 구해주면

이렇게 나온다. i^2 = -1 이므로 mw^2 부분은 실수가 되는 점 유의.
이 식이 바로 2nd order system의 Gain 값을 구하는 식이다!
그리고 이걸 MATLAB 을 써서 bode plot 을 그려본다면

? 뭔가 이상하지 않은가?
위에서 보았던 bode plot 과는 다르게 그래프에 혹이 생겼다.
저 혹은 대체 뭘까?
저 혹이 있는 부분을 바로 resonance 라고 부른다. 그리고 여기엔 안나와 있지만 저 혹이 아래쪽을 향해서 있다면 그건 notch 라고 부른다.
저 resonance 가 일어나는 경우가 두 가지 있는데,
그 중 하나는 natural frequency 일 때 이고, 나머지는 transfer function 의 분모가 0이 되는 frequency 를 지날 때이다.
그리고 notch 는 transfer function 의 분자가 0이 될 때마다 나타난다.
[분모가 0 이 되는 s 값들을 poles, 분자가 0 이 되는 s 값들을 zeros 라고 부른다.]
뭐..그거 빼곤 사실 더 말 할게 없다.
이대로 쓰다간 내용이 엉망진창이 될 거 같으니
나머지는 며칠 뒤에 쓰도록 하겠다.
남은건 사실 그렇게 많지가 않지만 오늘 너무 힘들어서..
이번 글은 내가봐도 진짜 못 썼다. ㅜㅜ
--------------------------12/21/2017-------------------------
방금 봤는데 분모랑 분자랑 잘못 적었다.
-----------------------------11/9/2020-------------------------
야매방법 설명 추가
'System Control' 카테고리의 다른 글
| 전기 시스템 모델링 (0) | 2020.07.20 |
|---|---|
| Transient Response 세 번째 (0) | 2020.07.10 |
| Frequency Response (0) | 2020.07.10 |
| Transient Response 두 번째 (0) | 2020.07.10 |
| Transient Response (0) | 2020.07.10 |
댓글